丁香医生审稿专业委员会同行评议通过人和人之间真的差别太大了,在午睡这件事上尽数体现,这是不是你?
👍🏻午睡前:雄心壮志,准备用 20 分钟满血复活,征服下午的工作。
🥱午睡后:头晕眼花,口水流了一桌子,仿佛被谁偷偷打了一顿。

图片来源:网络
更惨的是挣扎着爬起来后,还会发现胳膊麻到失去知觉、嘴角挂着不明液体,此时终于明白:不是所有午睡都叫休息,有些午睡,纯属行为艺术。
唉,打工人的午睡,确实自己的难处:会议室被占、工位太小、下午一点就要开会、内卷同事的机械键盘太吵,刚睡着就来消息……
先醒醒!午睡虽短,也有些小技巧。
有限的时间内,睡错了真浪费,睡对了,真的能助你打满鸡血地摸鱼工作。
01 午睡时间别太长,20 分钟就挺好
知道很多公司没法儿让大家想睡多久睡多久,好在一个能安慰到你的事实是:
最佳的午睡时长不超过 30 分钟,甚至 20 多分钟足矣。
还有研究表明,对于缺觉的人来说,午睡哪怕只有 10 分钟,也足以缓解疲劳[4]、提高认知能力[5]。

图片来源:网络
如果睡得时间太长,可能是个坏事儿。
午睡时间超过 1 小时,容易出现「睡眠惯性」,醒来时头昏脑涨,感觉像在梦里被猛鬼街里的弗莱迪·克鲁格追杀一般疲惫。有失眠困扰的人,午睡太久还会影响晚上好好睡觉哦。
周末在家睡午觉,也别睡太久啦~
02 饭后别急着马上睡,先缓上 20 分钟
咱打工人午休时间本来就短,还得算上吃饭时间,是不是只能吃完午饭马上就睡?

图片来源:网络
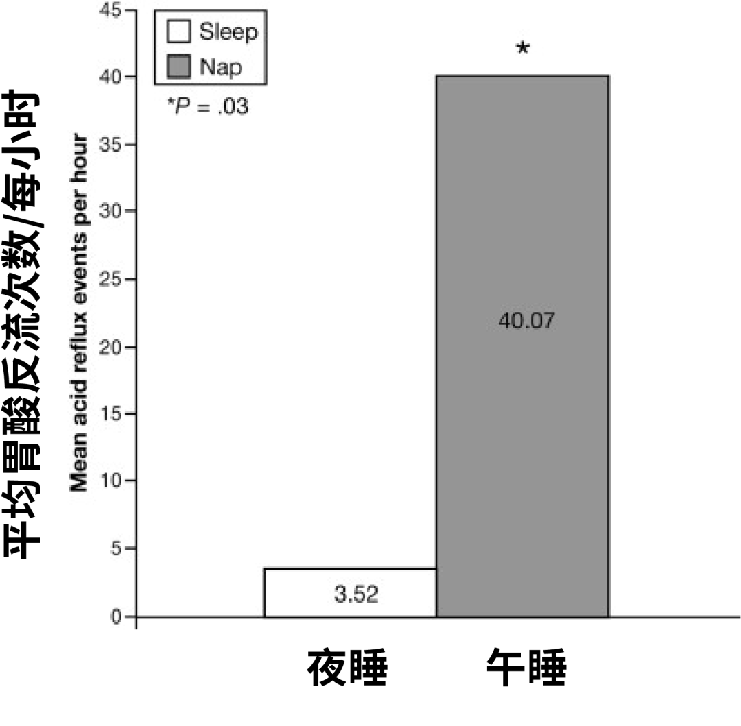
其实不太好。吃完饭胃里食物还很多,消化系统正加紧工作,血液也更多流向胃肠。
如果这时立刻躺平午睡,可能导致胃酸反流,轻则引起胃部不适,长期如此容易导致胃食管反流病。
一项 2015 年发表在《临床胃肠病学与肝病学》的研究发现,与夜间睡眠相比,午睡更有可能造成更严重的胃食管反流病[6],推测原因可能是午饭后平躺的时间间隙比晚饭后短造成的。

正确做法是饭后先休息 20~30 分钟再午睡,给肠胃一点时间消化。
可以饭后去公司楼下遛个弯买杯咖啡,或者坐着闭目养神,让胃先「干活」,稍后再放心地睡个舒坦觉。
03 别直接趴在桌上睡,给自己搞点小装备
不少上班族和学生党,午休会趴在桌上将就一下……真的睡不舒服啊。
想象一下,当你趴在桌上小憩时,脑袋压着胳膊,颈椎被迫前曲变形,眼球面部受挤压。

趴着睡可以带来颈部扭曲,脊柱压力。醒来时颈部僵硬的可能性更大,长期甚至可能逐渐损伤颈椎健康[7]。
而长时间压迫手臂或手腕不仅让它们疼痛麻木,还会增加腕管综合征或神经痛的风险[8]。

趴着睡时的姿势通常为面部朝下或面部朝向一侧,这两种姿势都容易造成受压迫眼球的眼压升高,长期对眼睛健康非常不利[9]。

图片来源:网络
午睡姿势,最推荐的姿势当然是躺着。虽然现实可能是:你的工位连放个抱枕都费劲……

那么推荐大家靠在椅背上坐着睡:椅子放低、靠背微躺,最好配一个 U 型枕垫着脖子,避免头侧偏,防止一觉醒来落枕。

如果工位挤得连座椅都无法往后调整,那这边建议您把这工作辞了吧!买个小枕头垫在胳膊下面:

04 听音乐不是好选择,隔音安静更重要
戴着耳机听音乐入睡,看似享受,其实对耳朵而言并不是什么好习惯。
长期戴耳机听音乐入睡可能损伤听力,持续的音乐刺激会影响内耳的毛细胞和鼓膜,时间久了听力下降是不可逆的!

图片来源:网络
如果办公室实在太吵,比起戴着耳机听音乐入睡,可以考虑在工位上备一副耳塞或静音耳机。
如果你不听点儿什么就难以入睡,耳机里播放一些轻柔的白噪音(比如雨声或风扇声),但要注意音量不要太大,刚好能盖过环境噪音即可。
记住关键原则——能用物理隔音就别用声音对抗声音,选择白噪音时要保持轻柔适度,这样才能真正让大脑和耳朵都得到充分休息。
好啦,总结一下今天的知识点,为大家整理出一个公式——
一个黄金午睡⬇️= ✅20~30 分钟时长 + ✅饭后先消化 20~30 分钟 + ✅有条件最好平躺休息,或者椅子放低靠背微躺 + ✅耳塞隔音更安静
另附一份《打工人的午睡口诀》,转发给你转发给那个总在工位流口水的同事,一起努力睡服工位!
靠垫仰卧最舒服,
趴枕解放颈椎骨。
耳机摘掉耳朵静,
饭后散步不反酸。
午睡不是比时长,
睡得聪明才叫强!
睡不着、容易醒、睡眠质量差
立即咨询三甲医生
合作专家 邓潇斐 中国科学院心理研究所博士
审核专家 胡佳雪 浙江大学神经科学博士
策划 橙月
监制 Feidi
参考文献:
[4]Brooks, A., & Lack, L. (2006). A brief afternoon nap following nocturnal sleep restriction: which nap duration is most recuperative?. Sleep, 29(6), 831-840.
[5]Dutheil, F., Danini, B., Bagheri, R., Fantini, M. L., Pereira, B., Moustafa, F., ... & Navel, V. (2021). Effects of a short daytime nap on the cognitive performance: a systematic review and meta-analysis. International journal of environmental research and public health, 18(19), 10212.
[6]Nasrollah, L., Maradey-Romero, C., Jha, L. K., Gadam, R., Quan, S. F., & Fass, R. (2015). Naps are associated more commonly with gastroesophageal reflux, compared with nocturnal sleep. Clinical Gastroenterology and Hepatology, 13(1), 94-99.
[7] How Stomach Sleeping Affects Neck Alignment – BLISSBURY
[8] Ansari, F. H., & Juergens, A. L. (2020). Compressive radial mononeuropathy.
[9] Lee, T. E., Yoo, C., & Kim, Y. Y. (2013). Effects of different sleeping postures on intraocular pressure and ocular perfusion pressure in healthy young subjects. Ophthalmology, 120(8), 1565-1570.