丁香医生审稿专业委员会同行评议通过功效作用
适应证
制霉素阴道栓主要用于治疗念珠菌性外阴阴道炎。本品为非处方药,不需要医生或其它医疗专业人员开写处方即可购买。常用规格为每支 20 万单位。
用法用量
概述
本品为阴道给药,禁止口服。每晚 1 枚,疗程一般为 7 天,慢性病例可延长使用 1~3 个疗程。使用时患者洗干净手及外阴部,采用人脸朝上背朝下的姿势躺着,戴上所附指套,将药片送入阴道深处。
药物过量
如果你或者你的家人过量使用该药品,可能会出现过敏反应。若症状持续或加重,建议立即就医。
药物漏用
如果忘记使用该药时,应尽快使用。切勿一次使用两倍剂量。
注意事项
用药期间注意个人卫生,防止重复感染,治疗期间尽量避免性生活,性生活时请使用避孕套。
不良反应
概述
本品耐受性较好,一般不会引起严重的副作用,但仍有部分患者可能出现过敏反应,灼烧感及阴部瘙痒等,这些症状较少发生,但如果有烧灼感、红肿等情况,应立刻停药,并将局部药物洗干净。若症状严重或持续发生,请告知医生或前往医院就诊。
更多信息
概述
- 作用机制:本品具有广谱抗真菌作用,对念珠菌最为敏感,对隐球菌、曲菌、毛霉菌、小孢子菌和滴虫也有抑制作用。
- 成分:每片含制霉菌素 20 万单位。
- 化学名称:N-(2-甲基-2,3-二氢-1H-吲哚基)-3-氨磺酰基-4-氯-苯甲酰胺
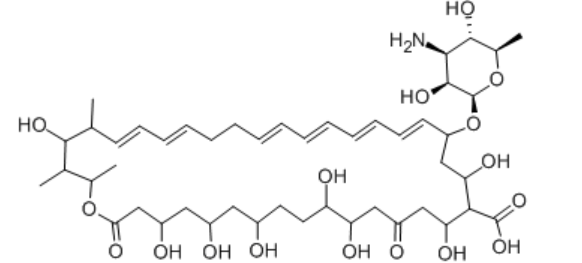
- 化学结构式:

- 分子式:C47H75NO17
- 分子量:926.09
- 性状:本品为淡黄色或黄棕色栓剂,内附卫生指套。
存储方法
-
遮光,在干燥阴凉处(不超过 20℃ )保存。
-
本品外观发生改变时,禁止继续使用,请立即丢弃,避免误用。
-
请将本品放在儿童不能接触的地方。
制霉素阴道栓
发布时间 2018年08月02日
最后修订时间 2023年08月18日
· 阴道用药,治疗念珠菌性外阴阴道炎。
· 怀孕头 3 个月禁用,孕妇、哺乳期慎用。
· 有烧灼感、红肿等情况,应立刻停药。
· 怀孕头 3 个月禁用,孕妇、哺乳期慎用。
· 有烧灼感、红肿等情况,应立刻停药。


